商務部公告2020年第48號 關于對原產于美國、韓國和歐盟的進口三元乙丙橡膠反傾銷調查初步裁定的公告
【發布單位】中華人民共和國商務部
【發布文號】公告2020年第48號
【發布日期】2020-10-23
根據《中華人民共和國反傾銷條例》(以下稱《反傾銷條例》)的規定,2019年6月19日,商務部(以下稱調查機關)發布2019年第29號公告,決定對原產于美國、韓國和歐盟的進口三元乙丙橡膠(以下稱被調查產品)進行反傾銷立案調查。
調查機關對被調查產品是否存在傾銷和傾銷幅度、被調查產品是否對國內三元乙丙橡膠產業造成損害及損害程度以及傾銷與損害之間的因果關系進行了調查。根據調查結果和《反傾銷條例》第二十四條的規定,調查機關作出初步裁定(見附件)。現就有關事項公告如下:
一、初步裁定
調查機關初步認定,原產于美國、韓國和歐盟的進口三元乙丙橡膠存在傾銷,國內三元乙丙橡膠產業受到實質損害,而且傾銷與實質損害之間存在因果關系。
二、征收保證金
根據《反傾銷條例》第二十八條和第二十九條的規定,調查機關決定采用保證金形式實施臨時反傾銷措施。自2020年10月28日起,進口經營者在進口被調查產品時,應依據本初裁決定所確定的各公司的保證金比率向中華人民共和國海關提供相應的保證金。
被調查產品的具體描述如下:
調查范圍:原產于美國、韓國和歐盟的進口三元乙丙橡膠。
被調查產品名稱:三元乙丙橡膠。
英文名稱:Ethylene-Propylene-non-conjugated Diene Rubber或Ethylene Propylene Diene Monomer(EPDM)
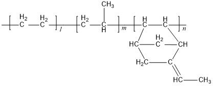
化學結構式:

物理化學特性:三元乙丙橡膠是乙烯、丙烯以及非共軛二烯烴的三元共聚物,常溫下外觀為白色或者微黃色固體,易于混合。三元乙丙橡膠的物理性能、化學特征和加工性能主要因聚合體的分子結構不同而異,而與分子結構相關的因素有第三單體種類、門尼粘度和充油含量等各種要素。三元乙丙橡膠具有較好的耐老化性、耐化學品性、耐低溫性及介電性能。
主要用途:三元乙丙橡膠用途比較廣泛,可用于建筑、電線電纜、汽車工業、交通等領域。建筑方面,主要用于屋頂單層防水卷材等;電線電纜方面,主要用于民用和商用建筑的電力輸入線、建筑機械用電纜、礦用電纜、核電站用電纜、汽車點火線、控制及信號電纜等;汽車工業方面,主要用于汽車、卡車和公共汽車非輪胎部件,包括汽車的水箱及耐熱膠管、密封條、橡膠帶、車身及底盤的部件、擋雨條、底板和環管等;交通方面主要應用于車輛車門窗密封條、減震、止水帶等。
該產品歸在《中華人民共和國進出口稅則》:40027010和40027090。
對各公司征收的保證金比率如下:
美國公司
1.陶氏化學公司 222.0%
(The Dow Chemical Company)
2.埃克森美孚公司 214.9%
(Exxon Mobil Corporation)
3.阿朗新科美國有限公司 219.8%
(ARLANXEO USA LLC)
4.美國獅子彈性體有限公司 219.8%
(Lion Copolymer Geismar,LLC)
5.其他美國公司 222.0%
(All Others)
韓國公司
1.錦湖POLYCHEM株式會社 12.5%
(KUMHO POLYCHEM Co.,Ltd.)
2.樂天瑋薩黎司彈性體有限公司 21.1%
(Lotte Versalis Elastomers Co.,Ltd.)
3.其他韓國公司 24.5%
(All Others)
歐盟公司
1. 阿朗新科荷蘭有限公司 18.1%
(ARLANXEO Netherlands B.V.)
2. 埃克森美孚化工法國公司 14.7%
(ExxonMobil Chemical France (ExxonMobil Chemical France Société par Actions Simplifiée))
3. 意大利瑋薩黎司有限公司 16.5%
(Versalis S.p.A.)
4. 其他歐盟公司 31.7%
(All Others)
三、征收保證金的方法
自2020年10月28日起,進口經營者在進口原產于美國、韓國和歐盟的三元乙丙橡膠時,應依據本初裁決定所確定的各公司的傾銷幅度向中華人民共和國海關提供相應的保證金。保證金以海關審定的完稅價格從價計征,計算公式為:保證金金額=(海關審定的完稅價格×保證金征收比率)×(1+進口環節增值稅稅率)。
四、評論
各利害關系方在本公告發布之日起10天內,可向調查機關提交書面評論意見。
附件:中華人民共和國商務部關于原產于美國、韓國和歐盟的進口三元乙丙橡膠反傾銷調查的初步裁定.wps
中華人民共和國商務部
2020年10月23日